반응형
근로장려금 신청하신 분들 모두 잘 받으셨나요? 생각한 금액대로 받으신 분들도, 감액되신 분들도 있으실텐데요, 근로장려금지급 기준에는 산정표가 있습니다. 근로장려금 지급 기준이 되는 산정표에 대해서 알아보겠습니다.

2024년의 경우 근로장려금 지급액 인상이 발표되지 않았기 때문에 2023년 산정표와 동일한 금액으로 근로장려금이 지급되었습니다.
근로장려금 지급액은 가구별로 계산이되어 적용이 됩니다.
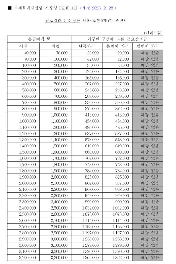
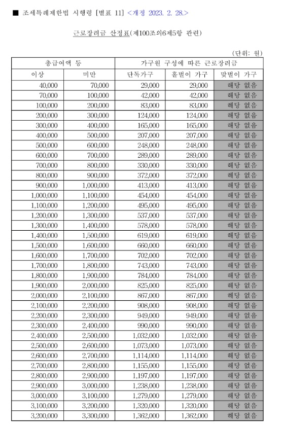
근로장려금 산정표
근로장려금 기준표는 아래와 같습니다.

근로장려금 지급액
가구별로 지급액은 다음과 같습니다.
- 단독가구 : 소득 2,200만원 미만 → 최대 165만원 지급
- 홑벌이 가구 : 소득 3,200만원 → 최대 285만원 지급
- 맞벌이 가구 : 소득 3,800만원 → 최대 330만원 지급
근로장려금 차감
- 가구원 재산합계액 : 1억 7천만원 이상 2.4억원 미만 : 해당 장려금의 50% 차감
- 기한 후 신청한 경우 : 해당 장려금에서 10% 차감
- 소득세 자녀세액공제와 자녀장려금 중복신청한 경우 : 지급액에서 자녀세액공제 해당세액 차감
- 국세 제납액이 있는 경우 : 지급액의 30% 한도로 체납충당

이상으로 근로장려금 지급의 기준이 되는 산정표에 대해서 알아보았습니다. 근로장려금 신청하고 지급받으시는데 도움 되시길 바랍니다.



* 함께 보면 좋은 글 *
근로장려금 이의신청 방법, 기간,감액사례 [총정리]
근로장려금의 정기분이 오늘 입금 되었으며 가구당 최대 330만원까지도 입금 되었는데요. 예상했던 것 보다 적게 입금된 분들이 계실 겁니다. 그런분들을 위해 근로장려금의 감액사례와 이의신
15.happymoon12.com
코로나 검사비용, 격리기간, 예방접종 ,증상 최신정보
최근 7~8월경 코로나19 입원환자 수가 많이 증가하는 추세 입니다. 그 중 입원환자는 65세 이상의 고령층이 다수를 차지 하고 있다는데요. 코로나 격리기간, 예방접종정보, 검사비용등 최근 발생
15.happymoon12.com
반응형
댓글